BS.CKII. LÝ ÍCH TRUNG1
ThS.BSNT. NGUYỄN NHẬT TÀI2
1Trưởng khoa Tim mạch can thiệp, Bệnh viện Chợ Rẫy
2Bộ môn Nội tổng quát, Trường Y, Đại học Y Dược TP. HCM
(…)
LỰA CHỌN KHÁNG ĐÔNG THEO BỐI CẢNH LÂM SÀNG CỤ THỂ
Nhồi máu cơ tim ST chênh lên (STEMI)
Kháng đông đường tĩnh mạch là liệu pháp nền tảng cho bất kỳ thủ thuật can thiệp mạch vành nào. Trong bối cảnh STEMI, mục tiêu của kháng đông là giúp giảm thiểu các biến chứng huyết khối sớm ở bệnh nhân hội chứng vành cấp và trong quá trình PCI, ngăn ngừa các biến chứng quanh thủ thuật như huyết khối stent, catheter hoặc dây dẫn. Thậm chí với các tiến bộ kỹ thuật hiện nay, huyết khối stent cấp vẫn xảy ra ở khoảng 1% trường hợp với tỷ lệ tử vong cao, do đó việc ngăn ngừa huyết khối phải được cân bằng cẩn thận với giảm thiểu nguy cơ chảy máu.
Sử dụng bivalirudin trong STEMI trước đây được củng cố bởi thử nghiệm HORIZONS-AMI, một nghiên cứu ngẫu nhiên lớn cho thấy bivalirudin vượt trội so với heparin kết hợp ức chế GPIIb/IIIa, chủ yếu nhờ giảm chảy máu lớn (3,0% với 5,8%; p < 0,001) và qua đó cải thiện tiêu chí cộng gộp các biến cố thiếu máu cục bộ và chảy máu. Tuy nhiên, bivalirudin làm tăng huyết khối stent sớm < 24 giờ (1,3 với 0,3%; p = 0,01) dù không làm tăng tử vong hay MACCE. HORIZONS-AMI được tiến hành trước khi prasugrel/ticagrelor và đường tiếp cận động mạch quay phổ biến hơn và hạn chế đáng kể là 65% bệnh nhân nhóm bivalirudin đã dùng UFH trước PCI, cũng như thiết kế mở. Trong bối cảnh thực hành hiện đại hơn, thử nghiệm EUROMAX – với chiến lược tiền PCI và tỉ lệ dùng ức chế GPIIb/IIIa cao ở nhóm heparin (69,1% với 11,5%), tiếp tục ghi nhận lợi ích của bivalirudin: biến cố chính 30 ngày giảm (5,1% với 8,5%; p = 0,001), chảy máu lớn giảm rõ (2,6% với 6,0%; p < 0,001), dù huyết khối stent sớm vẫn tăng (1,6% với 0,5%; p = 0,02) nhưng không làm tăng tử vong hay MACCE.
Tuy nhiên, những kết quả này bị đặt lại vấn đề qua HEAT-PPCI, một nghiên cứu mở, đơn trung tâm, 1829 bệnh nhân với bối cảnh thực hành “ít sử dụng ức chế GPIIb/IIIa” hơn và ít sai lệch hơn: tỉ lệ dùng ức chế GPIIb/IIIa trong 2 nhóm Heparin và Bivalirudin lần lượt là 15% và 13% và chỉ 1 bệnh nhân nhóm bivalirudin từng dùng heparin trước PCI. HEAT-PPCI ghi nhận heparin vượt trội về MACE 30 ngày (5,7% với 8,7%; p = 0,01), trong khi nhóm dùng bivalirudin ghi nhận tăng huyết khối stent, tái nhồi máu và tái thông lại mạch đích ngoài kế hoạch, ngoài ra không có khác biệt về chảy máu lớn giữa 2 nhóm. Kết quả này thách thức tính ưu việt của bivalirudin được thấy trong HORIZONS-AMI và EUROMAX, gợi ý rằng lợi ích của bivalirudin trong các thử nghiệm trước đó có thể chủ yếu đến từ việc tránh dùng ức chế GPIIb/IIIa hơn là bản thân thuốc vượt trội so với UFH. Một điểm quan trọng là trong HEAT-PPCI, bivalirudin chỉ được truyền trong PCI mà không kéo dài sau can thiệp, điều này giải thích phần nào nguy cơ huyết khối stent sớm tăng ở nhóm này.
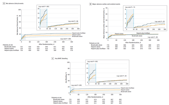
BRIGHT RCT là một ghiên cứu ngẫu nhiên, đa trung tâm, bao gồm 2194 bệnh nhân (87,7% STEMI, tiếp cận động mạch quay là 78,5%) được phân ngẫu nhiên nhận bivalirudin đơn độc, heparin đơn độc hoặc heparin kết hợp tirofiban. Thời gian trung vị truyền bivalirudin sau kết thúc thủ thuật PCI là 180 phút. Kết quả chính 30 ngày cho thấy biến cố cộng gộp (thiếu máu cục bộ và chảy máu) giảm rõ rệt ở nhóm bivalirudin (8,8%) so với heparin đơn độc (13,2%) và heparin/tirofiban (17%), chủ yếu nhờ giảm chảy máu lớn, trong khi không tăng huyết khối stent hay biến cố thiếu máu cục bộ. Kết quả này nhấn mạnh rằng chiến lược truyền kéo dài sau PCI quyết định kết quả lâm sàng, khắc phục hạn chế đã thấy trong HEAT-PPCI.

Hình 7. Kết quả chính trong nghiên cứu BRIGHT RCT. Hình A. Bivalirudin giảm kết cục ròng (thiếu máu cục bộ và chảy máu) so với heparin đơn thuần và heparin kèm tirofiban. Lợi ích đến chủ yếu của việc giảm chảy máu đáng kể (hình C) của bivalirudin, trong khi các biến cố tim mạch và mạch não lớn (MACCE) không khác biệt (hình B).
Trong khi đó, VALIDATE-SWEDEHEART – nghiên cứu đa trung tâm với 3005 bệnh nhân STEMI, tiếp cận động mạch quay là 90,3% và tỉ lệ dùng ức chế GPIIb/IIIa rất thấp (khoảng 2,5%) – không cho thấy khác biệt giữa bivalirudin và heparin về kết cục chính 180 ngày (tử vong, nhồi máu, chảy máu lớn) hay các kết cục thứ phát. Tuy nhiên, hạn chế quan trọng là 36,6% bệnh nhân đã dùng heparin trước khi tuyển chọn, gây sai lệch đáng kể khi so sánh trực tiếp.
Qua các thử nghiệm chúng ta nhận thấy bivalirudin giảm chảy máu hiệu quả, nhưng ưu thế so với heparin phụ thuộc vào bối cảnh thực hành (tỉ lệ dùng ức chế GPIIb/IIIa, tiếp cận đường quay trong PCI) và chiến lược truyền thuốc. Truyền kéo dài sau PCI, như trong thử nghiệm BRIGHT, là yếu tố then chốt giúp duy trì lợi ích giảm chảy máu mà không tăng huyết khối, trong khi trong bối cảnh sử dụng ức chế GPIIb/IIIa thấp và tiếp cận động mạch quay cao, như VALIDATE-SWEDEHEART, bivalirudin không vượt trội đáng kể so với heparin.
Về enoxaparin trong STEMI, thử nghiệm ATOLL (910 bệnh nhân, nhãn mở) so sánh enoxaparin IV trước PCI hoặc UFH, 71% bệnh nhân nhận thuốc trước PCI. Liều IV enoxaparin 0,5 mg/kg, nếu thủ thuật >2 giờ hoặc cần kháng đông mạnh hơn, bổ sung 0,25 mg/kg. Liều không điều chỉnh cho bệnh nhân suy thận. Tiếp cận động mạch quay khoảng 2/3 bệnh nhân, 93% nhận clopidogrel. Kết quả chính (tử vong, biến chứng nhồi máu, chảy máu lớn) không khác biệt đáng kể (28% với 34%, p = 0.063), nhưng kết cục phụ (tử vong, HCVC tái phát, can thiệp tái tưới máu khẩn) giảm đáng kể ở nhóm enoxaparin (7% với 11%, p = 0.015). Phân tích theo protocol 87,4% bệnh nhân: lợi ích chính có ý nghĩa thống kê (RR 0,76, 95% CI 0,62–0,94, p = 0.001). Một phân tích gộp trên 10.423 bệnh nhân STEMI cũng ủng hộ giảm chảy máu và cải thiện thiếu máu cục bộ với enoxaparin.
Fondaparinux không được khuyến cáo trong STEMI. Nguyên nhân đế từ kết quả thử nghiệm OASIS-6, một nghiên cứu lớn bao gồm bệnh nhân STEMI, trong đó một nhánh được điều trị bằng fondaparinux thay cho heparin. Kết quả cho thấy tăng nguy cơ huyết khối liên quan stent và huyết khối mạch vành cấp, đặc biệt khi không có đồng thời heparin hoặc kháng đông bổ trợ trong PCI. Cụ thể, nhóm fondaparinux có tỷ lệ huyết khối stent sớm và biến cố thiếu máu cao hơn so với nhóm heparin tiêu chuẩn, mặc dù nguy cơ chảy máu giảm.
Khuyến cáo thực hành hiện nay
Theo ESC 2023, UFH vẫn được khuyến nghị là lựa chọn đầu tay (Khuyến cáo IC) với liều 70–100 U/kg bolus tĩnh mạch nếu không sử dụng GP IIb/IIIa, hoặc 50–70 U/kg nếu có GP IIb/IIIa, với mục tiêu đạt thời gian đông máu hoạt hóa (ACT) điều trị, dựa trên dữ liệu từ nhiều RCT về PPCI trên STEMI. Bivalirudin được xem là một lựa chọn thay thế cho UFH, đặc biệt ở bệnh nhân có nguy cơ chảy máu cao, với mức khuyến cáo IIaA theo ESC, sử dụng liều bolus 0,75 mg/kg IV, sau đó truyền liên tục 1,75 mg/kg/h đến 4 giờ sau thủ thuật.
Trong khi đó, theo ACC/AHA 2025, Bivalirudin được xếp là khuyến cáo I B-R, vì dựa trên bằng chứng từ các thử nghiệm ngẫu nhiên lớn (HORIZONS-AMI, EUROMAX, BRIGHT, VALIDATE-SWEDEHEART) chứng minh rằng thuốc này giúp giảm biến cố chảy máu và tử vong mà vẫn duy trì hiệu quả phòng ngừa huyết khối, đặc biệt có ý nghĩa lâm sàng ở nhóm bệnh nhân có nguy cơ chảy máu cao. Lợi ích này vẫn được xác nhận trong bối cảnh PCI hiện đại, mặc dù các dữ liệu như HEAT-PPCI cảnh báo nguy cơ huyết khối stent cấp khi sử dụng Bivalirudin đơn độc. Do đó khi sử dụng Bivalirudin cần duy trì truyền liên tục 2-4 giờ sau thủ thuật với liều 1,75 mg/kg/h.
Enoxaparin tiêm tĩnh mạch có thể được cân nhắc như một lựa chọn thay thế cho UFH trong PCI (ESC khuyến cáo IIaA, AHA/ACC khuyến cáo 2b B-R) dựa trên các thử nghiệm như ATOLL. Ngược lại, Fondaparinux không được khuyến cáo dùng để hỗ trợ PCI do nguy cơ huyết khối catheter (ESC khuyến cáo III B, AHA/ACC khuyến cáo 3 B-R).
Hội chứng vành cấp không ST chênh lên
Đã được công nhận rõ ràng rằng kháng đông nên được sử dụng cùng với thuốc kháng tiểu cầu ở bệnh nhân NSTEACS được can thiệp xâm lấn, dựa trên nhiều thử nghiệm ngẫu nhiên nhỏ và phân tích tổng hợp, chủ yếu so sánh UFH với giả dược. Các thuốc kháng đông đã được chứng minh trong thực hành bao gồm UFH, enoxaparin, fondaparinux và bivalirudin.
Fondaparinux được khuyến cáo hạng 1 trong các hướng dẫn của ESC và ACC trước đây, dựa trên thử nghiệm OASIS-5, bao gồm 20.078 bệnh nhân đau thắt ngực không ổn định hoặc NSTEMI, được phân ngẫu nhiên nhận fondaparinux hoặc enoxaparin. Ở những bệnh nhân thực hiện PCI, kết quả chính là biến cố chảy máu giảm đáng kể ở nhóm fondaparinux sau 48 giờ (enoxaparin 3,4% với fondaparinux 1,4%; p < 0,001) mà không có khác biệt về các kết cục thiếu máu cục bộ. Tuy nhiên, nghiên cứu này được thực hiện trước khi tiếp cận mạch quay và các thuốc ức chế P2Y12 mạnh trở nên phổ biến. Thêm vào đó, quy trình trong thử nghiệm yêu cầu bổ sung heparin trong PCI do nguy cơ huyết khối catheter cao hơn ở nhóm fondaparinux. Do đó, liều heparin tối ưu khi kết hợp với fondaparinux trong PCI được nghiên cứu trong FUTURA OASIS-8, so sánh UFH liều chuẩn (85 U/kg hoặc 60 U/kg khi dùng ức chế GP IIb/IIIa) với UFH liều thấp cố định (50 U/kg) ở 2026 bệnh nhân. Kết quả chính về chảy máu lớn và nhỏ liên quan PCI tương tự giữa hai nhóm (liều chuẩn 5,8% với liều thấp 4,7%; p = 0,27); tuy nhiên, kết cục thứ phát quan trọng (tử vong, nhồi máu, tái thông mạch đích) cao hơn ở nhóm liều thấp (4,5% với 2,9%, p = 0.06). Do đó, khuyến cáo sử dụng liều heparin chuẩn khi phối hợp với fondaparinux trong PCI.
UFH và enoxaparin đã được so sánh trong nhiều thử nghiệm. Thử nghiệm SYNERGY (10.027 bệnh nhân NSTEMI, PCI thực hiện khoảng 47%) cho thấy kết cục chính (tử vong hoặc nhồi máu không tử vong) tương tự giữa enoxaparin và heparin (14,0% với 14,5%, p = 0,96). Tuy nhiên, biến cố chảy máu lớn TIMI tăng đáng kể ở nhóm enoxaparin (2,4% với 1,8%, p = 0,03). Hạn chế chính là 75% bệnh nhân nhận kháng thrombin trước khi phân nhóm. Ở những bệnh nhân chưa dùng trước hoặc dùng cùng với nhóm phân ngẫu nhiên, enoxaparin giảm kết cục chính (13,3% với 15,9%) mà không tăng chảy máu. Phân tích tổng hợp 13 thử nghiệm NSTEMI và PCI chương trình cho thấy không có khác biệt tử vong tất cả nguyên nhân giữa enoxaparin và heparin.
Thử nghiệm ACUITY (13.819 bệnh nhân, 53% bệnh nhân được PCI) cho thấy bivalirudin đơn độc giảm đáng kể chảy máu lớn (3,0% với 5,7%) so với heparin + ức chế GP IIb/IIIa, dẫn đến kết quả lâm sàng ròng tốt hơn (bivalirudin 10,1% với UHF/GP IIb/IIIa 11,7%; p = 0,02).

Hình 8: Kết cục (A) thiếu máu cục bộ và (B) chảy máu ở nhóm bivalirudin với nhóm bivalirudin + ức chế GP IIb/IIIa và nhóm UFH/LMWH + ức chế GPIIb/IIIa trong thử nghiệm ACUITY ISAR-REACT 4 (NSTEMI, 1721 bệnh nhân) so sánh bivalirudin với UFH + abciximab, tất cả nhận clopidogrel, tiếp cận chủ yếu qua động mạch đùi. Kết cục chính 30 ngày tương tự (10,9% với 11,0%; p = 0,94), nhưng giảm đáng kể chảy máu lớn với bivalirudin (2,6% với 4,6%; p = 0,02).
Khuyến cáo thực hành hiện nay
Trong HCVC không ST chênh lên (NSTE-ACS), cả ESC 2023 và ACC 2025 đều khuyến cáo sử dụng kháng đông tĩnh mạch sớm để điều trị huyết khối mạch vành và giảm nguy cơ biến cố tim mạch chính. Theo ESC 2023, ở những bệnh nhân dự kiến can thiệp mạch vành sớm (<24 giờ), UFH là lựa chọn kháng đông ưu tiên (khuyến cáo IC), nhưng enoxaparin IV có thể được xem là thay thế (khuyến cáo IIa-B). Ở bệnh nhân không dự kiến PCI sớm, giai đoạn điều trị ban đầu chỉ dùng thuốc với fondaparinux được ưu tiên nhờ giảm chảy máu so với enoxaparin (khuyến cáo IB), nhưng khi bệnh nhân tiến hành PCI sau đó cần bolus UFH liều đầy đủ để phòng ngừa huyết khối catheter. Nguyên tắc lựa chọn theo ESC chủ yếu dựa vào thời gian PCI dự kiến, nguy cơ chảy máu và sẵn có thuốc.
Trong khi đó, theo ACC 2025, tất cả bệnh nhân hội chứng vành cấp không ST chênh lên đều nên nhận kháng đông tĩnh mạch từ lúc chẩn đoán, nhằm điều trị huyết khối do mảng xơ vữa và giảm MACE (khuyến cáo IB-R). UFH vẫn được khuyến cáo mức I-C trên bệnh nhân hội chứng vành cấp được PCI để giảm biến cố thiếu máu cục bộ, trong khi đó enoxaparin IV hoặc bivalirudin có thể được xem xét là thay thế cho UFH trong lúc PCI để giảm các biến cố thiếu máu cục bộ (khuyến cáo 2b-BR). Fondaparinux không nên dùng để hỗ trợ PCI trong hội chứng vành cấp vì nguy cơ huyết khối catheter (khuyến cáo 3 B-R).
Hội chứng vành mạn
Lý do sử dụng kháng đông ở bệnh nhân đau thắt ngực ổn định khi thực hiện PCI chương trình bao gồm: ngăn ngừa hình thành cục máu đông trên dây dẫn mạch và ống thông PCI, đảm bảo ức chế thrombin đầy đủ ở những nơi có huyết khối trong lòng mạch (tỉ lệ xuất hiện ở 65% bệnh nhân đau thắt ngực ổn định) và cân bằng phản ứng tăng đông và viêm do đặt stent.
Hai thử nghiệm RCT cỡ vừa đã thách thức quan niệm này, đều so sánh heparin với giả dược trong PCI. Thử nghiệm REMOVE với 159 bệnh nhân, so sánh eptifibatide đơn độc với eptifibatide cộng UFH. Tất cả bệnh nhân nhận aspirin và clopidogrel. Kết cục chính về chảy máu, được đo bằng thang đánh giá mức độ chảy máu Landefeld, giảm đáng kể ở nhóm không dùng heparin (3,0% so với 3,9%, P = 0,03). Không có khác biệt về kết cục cộng gộp gồm tử vong, thiếu máu và chảy máu. Thử nghiệm CIAO là một RCT mù đôi so sánh hiệu quả và độ an toàn của liệu pháp kháng tiểu cầu đơn thuần với việc sử dụng UFH ở 700 bệnh nhân được thực hiện PCI chương trình trên các tổn thương không phức tạp. Những bệnh nhân có đặc điểm nguy cơ cao về giải phẫu mạch như vôi hóa, tổn thương dài, mạch nhỏ, tổn thương phân nhánh bị loại trừ. Thuốc kháng tiểu cầu bao gồm aspirin và ticlopidine hoặc clopidogrel. Tất cả thủ thuật được thực hiện qua động mạch đùi và không sử dụng ức chế GP IIb/IIIa. Không có khác biệt về kết cục chính 30 ngày (tử vong, nhồi máu cơ tim hoặc tái thông mạch đích) giữa nhóm heparin và giả dược (3,7% so với 2,0%, p = 0,17), mặc dù nhóm giả dược ghi nhận ít chảy máu hơn; tuy nhiên, số lượng tuyệt đối của các sự kiện chảy máu nhỏ và ý nghĩa thống kê chỉ đạt trong thang điểm STEEPLE, nhưng không đạt ý nghĩa khi dùng thang điểm chảy máu của TIMI, ACUITY hay GUSTO. Dựa trên cơ sở sinh học về vai trò quan trọng của ức chế thrombin trong PCI chương trình và những hạn chế của các thử nghiệm REMOVE và CIAO, kháng đông đã trở thành tiêu chuẩn chăm sóc cho bệnh nhân được thực hiện PCI chương trình.
Lựa chọn loại thuốc kháng đông ít rõ ràng do thiếu các thử nghiệm RCT lớn. Một thử nghiệm lớn duy nhất được thiết kế dành riêng cho PCI chương trình là STEEPLE, một thử nghiệm đa trung tâm mở, tuyển chọn 3528 bệnh nhân, nhằm đánh giá độ an toàn của enoxaparin IV (0,75 hoặc 0,5 mg/kg bất kể sử dụng ức chế GP IIb/IIIa) so với UFH (liều bolus IV 70 đến 100 IU, điều chỉnh theo ACT giữa 300 và 350 giây). Khi sử dụng ức chế GP IIb/IIIa, liều UFH được giảm (liều bolus IV 50–70 IU và mục tiêu ACT 200–300 giây). Khoảng 94% bệnh nhân đã nhận thienopyridine vào ngày PCI. Tất cả thủ thuật qua động mạch đùi; rút sheath ở nhóm enoxaparin 0,75 mg/kg sau 4–6 giờ, nhưng thực hiện ngay lập tức ở nhóm 0,5 mg/kg; rút sheath ở nhóm UFH khi ACT đạt 150-180 giây. Kết cục chính về chảy máu lớn và nhỏ trong 48 giờ thấp nhất ở nhóm enoxaparin 0,5 mg/kg (5,9%), so với 6,5% ở nhóm 0,75 mg/kg và 8,5% ở nhóm UFH. Sự khác biệt giữa nhóm 0,5 mg/kg và UFH đạt ý nghĩa thống kê (p = 0,01), trong khi khác biệt giữa nhóm 0,5 mg/kg và 0,75 mg/kg đạt tiêu chí không kém hiệu quả đã định trước. Không có khác biệt về các kết cục thiếu máu giữa ba nhóm.

Hình 9. Các biến cố thiếu máu cục bộ và xuất huyết trong thử nghiệp STEEPLE
Các thử nghiệm khác như ISAR-REACT 3/3A cho thấy Bivalirudin có kết quả tương đương với UFH và việc sử dụng UFH liều thấp hơn (100 U/kg) trong ISAR-REACT 3A mang lại lợi ích lâm sàng tổng thể, chủ yếu do giảm biến cố chảy máu.
Tóm lại, kháng đông vẫn là tiêu chuẩn trong PCI chương trình dựa trên nguy cơ hình thành huyết khối của mảng xơ vữa ổn định và hiệu ứng prothrombotic (tăng đông) của stent. Hai thử nghiệm REMOVE và CIAO từng thách thức quan niệm này, nhưng đều có hạn chế. Việc lựa chọn loại thuốc kháng đông khó khăn hơn do thiếu các RCT lớn với các thuốc hiện có. Bằng chứng từ STEEPLE cho thấy enoxaparin có thể ưu việt hơn heparin và từ ISAR-REACT 3 cho thấy bivalirudin giảm chảy máu; tuy nhiên, các thử nghiệm này không sử dụng đường tiếp cận động mạch quay (radial access) và các thuốc ức chế P2Y12 thế hệ mới, giới hạn khả năng áp dụng vào thực hành hiện nay.
Theo khuyến cáo của ESC 2018 về sử dụng thuốc kháng đông trong PCI trên bệnh nhân hội chứng vành mạn thì UFH (liều 70-100U/kg) được chỉ định là thuốc kháng đông tiêu chuẩn với khuyến cáo IB. Bivalirudin (liều 0.75mg/kg bolus, sau đó truyền tĩnh mạch 1.75mg/kg/giờ và kéo dài đến 4 giờ sau thủ thuật) được chỉ định trên những bệnh nhân giảm tiểu cầu do Heparin (HIT) với mức khuyến cáo IC. Enoxaparin (liều tĩnh mạch 0.5mg/kg) có thể được xem xét là thuốc thay thế với mức khuyến cáo IIaB.
Phác đồ UFH với Enoxaparin tuần tự
Trong PCI chương trình cho hội chứng vành mạn, Heparin không phân đoạn (UFH) là thuốc chống đông truyền thống, nhưng có nhược điểm là tác dụng chống đông kém dự đoán, cần theo dõi ACT lặp lại và có thời gian bán thải ngắn. Ngược lại, Enoxaparin (LMWH) có đáp ứng liều ổn định và dễ dự đoán hơn, thời gian bán thải dài hơn và tỉ lệ hoạt tính anti-Xa/anti-IIa cao hơn (4:1) so với UFH (1:1). Phác đồ UFH với Enoxaparin tuần tự được đề xuất để tận dụng tính ổn định của Enoxaparin trong khi giảm thiểu nguy cơ huyết khối ống thông mà một số bác sĩ lo ngại khi dùng Enoxaparin đơn độc trong phòng thông tim. Chiến lược này cũng được cho là giúp đơn giản hóa quản lý và giảm thời gian nằm bất động và đã được thực hiện ở một số trung tâm tại Trung Quốc.
Nghiên cứu của Huang và cộng sự (2018) nghiên cứu hồi cứu trên 514 bệnh nhân đái tháo đường và bệnh mạch vành phức tạp trải qua PCI chương trình, so sánh UFH liều thấp (50 U/kg) + Enoxaparin tuần tự (0.75 mg/kg IV) với UFH đơn thuần (100 U/kg IV, theo dõi ACT). Kết quả ghi nhận không có sự khác biệt đáng kể về MACE (Tử vong, nhồi máu cơ tim, đột quỵ, tái thông mạch đích) hoặc chảy máu nặng ở cả thời điểm 30 ngày và 1 năm. Chỉ có một trường hợp huyết khối catheter xảy ra trong nhóm UFH đơn thuần.
Nghiên cứu của Li và cộng sự (2018) nghiên cứu hồi cứu trên 1200 bệnh nhân PCI với tổn thương mạch vành phức tạp, so sánh UFH (3000 U IV ban đầu) + Enoxaparin tuần tự (0.75 mg/kg IV) với UFH đơn thuần (100 U/kg IV, theo dõi ACT). Kết quả ghi nhận không có sự khác biệt đáng kể về tỷ lệ chảy máu TIMI (3.3% so với 4.7%). Tỷ lệ MACCE (biến cố tim mạch và mạch máu não bất lợi lớn) ở 30 ngày (0.9% so với 1.5%) và 1 năm là tương đương giữa hai nhóm.
Các nghiên cứu quan sát này kết luận rằng phác đồ UFH với Enoxaparin tuần tự có tác dụng chống đông và độ an toàn tương đương với UFH đơn thuần trong PCI chương trình, đặc biệt ở bệnh nhân có tổn thương phức tạp. Phác đồ này mang lại lợi ích tiềm năng trong việc đạt được hiệu quả chống đông ổn định mà không cần theo dõi ACT lặp lại trong suốt quá trình thủ thuật.
Tuy nhiên, phác đồ này còn hạn chế vì các kết quả trên chủ yếu dựa trên nghiên cứu hồi cứu/quan sát tại một khu vực địa lý nhất định, do đó, tính phổ quát và tính ưu việt cần được xác minh thêm bằng các RCT quy mô lớn. Các hướng dẫn lâm sàng lớn thường cảnh báo về việc kết hợp UFH và LMWH (cross-anticoagulation) do nguy cơ gây chống đông quá mức và tăng chảy máu. Nghiên cứu STACKENOX cho thấy việc thêm UFH vào Enoxaparin có thể dẫn đến mức chống đông vượt ngưỡng điều trị (Anti-Xa cao) mà ACT không phát hiện được. Mặc dù liều 0.75 mg/kg Enoxaparin IV được sử dụng trong các nghiên cứu này, liều lượng tối ưu thực tế (cân bằng nguy cơ thiếu máu cục bộ/chảy máu) vẫn chưa được xác định rõ ràng.
Bảng 2. Liều kháng đông hỗ trợ PCI trên bệnh nhân hội chứng vành cấp
| Thuốc | Liều hỗ trợ PCI |
| UFH | Người bệnh đã dùng kháng đông trước đó: bổ sung UFH nếu cần để đạt ACT mục tiêu 250 – 300s
Người bệnh chưa dùng kháng đông trước đó: liều UFH 70-100U/kg bolus để đạt mục tiêu ACT 250-300s |
| Enoxaparin | Người bệnh trước đó đã dùng enoxaparin
– Nếu liều cuối enoxaparin được tiêm dưới da trong 8 – 12 giờ trước hoặc chỉ mới dùng 1 liều enoxaparin: Bổ sung 1 liều enoxaparin 0,3mg tĩnh mạch – Nếu liều cuối enoxaparin được tiem dưới da trong vòng 8 giờ, không cần bổ sung enoxaparin Người bệnh trước đó chưa dùng kháng đông: liều Enoxaparin 0.5-0.75 mg/kg bolus tĩnh mạch |
| Bivalirudin | Khởi đầu 0.75mg/kg bolus tĩnh mạch, sau đó truyền tĩnh mạch 1.75 mg/kg mỗi giờ trong thủ thuật PCI
Sau PCIL tiếp tục truyền 1.75 mg/kg/môi giờ trong 2-4 giờ sau PCI Nếu người bệnh có CrCl < 30mL/phút, giảm liều truyền còn 1mg/kg mỗi giờ |
| Fondaparinux | AHA/ACC không khuyến cáo hỗ trợ PCI, do nguy cơ hình thành huyết khối catheter
ESC: liều ban đầu 2.5mg mỗi ngày tiêm dưới da, cần bổ sung 1 liều UFH bolus trong PCI được khuyến cáo. Tránh dùng nếu CrCl < 20mL/phút |
Một số trường hợp đặc biệt
Bệnh nhân giảm tiểu cầu do heparin (HIT)
Bệnh nhân bị giảm tiểu cầu do heparin (HIT) không thể sử dụng UFH trong quá trình PCI. Mặc dù tỷ lệ HIT ít gặp hơn với các LMWH, nhưng hiện tượng phản ứng chéo với các thuốc này vẫn có thể xảy ra và có liên quan đến tăng nguy cơ thiếu máu cơ tim và biến cố chảy máu. Fondaparinux đã được sử dụng thành công để điều trị HIT, nhưng cần heparin trong thủ thuật khi dùng thuốc này, nên không thể áp dụng trong PCI.
Bivalirudin phù hợp để quản lý bệnh nhân HIT cần PCI. Một nghiên cứu sổ bộ gồm 52 bệnh nhân HIT được dùng bivalirudin trước PCI cho thấy 96% bệnh nhân không gặp tử vong, nhồi máu cơ tim Q-wave, hoặc cần CABG khẩn cấp. Không ghi nhận tình trạng giảm tiểu cầu (số lượng tiểu cầu <50 × 10⁹/L) trong nhóm này, gợi ý rằng bivalirudin cũng là một lựa chọn kháng đông thay thế an toàn cho nhóm bệnh nhân hiếm gặp nhưng nguy cơ cao này.
Bệnh nhân đang dùng kháng đông đường uống
Theo hướng dẫn của ESC 2023, trên bệnh nhân đang dùng kháng đông đường uống, thủ thuật PCI có thể được thực hiện mà không cần ngưng thuốc kháng vitamin K hoặc NOACs. Trên bệnh nhân đang dùng VKAs, không sử dụng UFH nếu INR > 2.5. Trên bệnh nhân đang dùng NOACs, bất kể thời điểm dùng liều cuối NOACs, bổ sung kháng đông liều thấp (enoxaparin 0,5 mg/kg tĩnh mạch hoặc UFH 60UI/kg)
KẾT LUẬN
Có nhiều bằng chứng từ các thử nghiệm lâm sàng cho thấy việc sử dụng thuốc kháng đông ở bệnh nhân được can thiệp mạch vành qua da (PCI) giúp ngăn ngừa các biến cố thiếu máu cục bộ. Việc lựa chọn loại thuốc cuối cùng được quyết định bởi sự kết hợp của nhiều yếu tố, bao gồm kết quả từ các thử nghiệm lâm sàng, đặc điểm của từng bệnh nhân, và kinh nghiệm cũng như mức độ quen thuộc của bác sĩ đối với từng loại thuốc.
TÀI LIỆU THAM KHẢO
- Hartshorne T, Chew DP. Anticoagulation in percutaneous coronary intervention. In: Topol EJ, Teirstein PS, eds. Textbook of Interventional Cardiology. 8th ed. Elsevier; 2019:187-197.
- Rao SV, O’Donoghue ML, Ruel M, et al. 2025 ACC/AHA/ACEP/NAEMSP/SCAI Guideline for the Management of Patients With Acute Coronary Syndromes: A Report of the American College of Cardiology/American Heart Association Joint Committee on Clinical Practice Guidelines. Circulation. 2025;151(13):e771-e862. doi:10.1161/CIR.0000000000001309
- Byrne RA, Rossello X, Coughlan JJ, et al. 2023 ESC Guidelines for the management of acute coronary syndromes. Eur Heart J. 2023;44(38):3720-3826. doi:10.1093/eurheartj/ehad191
- Neumann FJ, Sousa-Uva M, Ahlsson A, et al. 2018 ESC/EACTS Guidelines on myocardial revascularization. Eur Heart J. 2019;40(2):87-165. doi:10.1093/eurheartj/ehy394
- Jaffer IH, Fredenburgh JC, Hirsh J, Weitz JI. Medical device-induced thrombosis: what causes it and how can we prevent it?. J Thromb Haemost. 2015;13 Suppl 1:S72-S81. doi:10.1111/jth.12961
- Weitz JI. Blood coagulation and anticoagulant, fibrinolytic, and antiplatelet drugs. In: Brunton LL, Chabner BA, Knollmann BC, eds. Goodman & Gilman’s The Pharmacological Basis of Therapeutics. 12th ed. McGraw-Hill; 2011:849-876.
- Yost GW, Steinhubl SR. Monitoring and Reversal of Anticoagulation and Antiplatelets. Interv Cardiol Clin. 2013;2(4):643-663. doi:10.1016/j.iccl.2013.05.008
- Stone GW, Witzenbichler B, Guagliumi G, et al. Bivalirudin during primary PCI in acute myocardial infarction. N Engl J Med. 2008;358(21):2218-2230. doi:10.1056/NEJMoa0708191
- Steg PG, van ‘t Hof A, Hamm CW, et al. Bivalirudin started during emergency transport for primary PCI. N Engl J Med. 2013;369(23):2207-2217. doi:10.1056/NEJMoa1311096
- Shahzad A, Kemp I, Mars C, et al. Unfractionated heparin versus bivalirudin in primary percutaneous coronary intervention (HEAT-PPCI): an open-label, single centre, randomised controlled trial. Lancet. 2014;384(9957):1849-1858. doi:10.1016/S0140-6736(14)60924-7
- Han Y, Guo J, Zheng Y, et al. Bivalirudin vs heparin with or without tirofiban during primary percutaneous coronary intervention in acute myocardial infarction: the BRIGHT randomized clinical trial. JAMA. 2015;313(13):1336-1346. doi:10.1001/jama.2015.2323
- Erlinge D, Omerovic E, Fröbert O, et al. Bivalirudin versus Heparin Monotherapy in Myocardial Infarction. N Engl J Med. 2017;377(12):1132-1142. doi:10.1056/NEJMoa1706443
- Montalescot G, Zeymer U, Silvain J, et al. Intravenous enoxaparin or unfractionated heparin in primary percutaneous coronary intervention for ST-elevation myocardial infarction: the international randomised open-label ATOLL trial. Lancet. 2011;378(9792):693-703. doi:10.1016/S0140-6736(11)60876-3
- Fifth Organization to Assess Strategies in Acute Ischemic Syndromes Investigators, Yusuf S, Mehta SR, et al. Comparison of fondaparinux and enoxaparin in acute coronary syndromes. N Engl J Med. 2006;354(14):1464-1476. doi:10.1056/NEJMoa055443
- Steg PG, Mehta S, Jolly S, et al. Fondaparinux with UnfracTionated heparin dUring Revascularization in Acute coronary syndromes (FUTURA/OASIS 8): a randomized trial of intravenous unfractionated heparin during percutaneous coronary intervention in patients with non-ST-segment elevation acute coronary syndromes initially treated with fondaparinux. Am Heart J. 2010;160(6):1029-1034.e1. doi:10.1016/j.ahj.2010.07.037
- Ferguson JJ, Califf RM, Antman EM, et al. Enoxaparin vs unfractionated heparin in high-risk patients with non-ST-segment elevation acute coronary syndromes managed with an intended early invasive strategy: primary results of the SYNERGY randomized trial. JAMA. 2004;292(1):45-54. doi:10.1001/jama.292.1.45
- Kastrati A, Neumann FJ, Schulz S, et al. Abciximab and heparin versus bivalirudin for non-ST-elevation myocardial infarction. N Engl J Med. 2011;365(21):1980-1989. doi:10.1056/NEJMoa1109596
- Stone GW, McLaurin BT, Cox DA, et al. Bivalirudin for patients with acute coronary syndromes. N Engl J Med. 2006;355(21):2203-2216. doi:10.1056/NEJMoa062437
- Montalescot G, White HD, Gallo R, et al. Enoxaparin versus unfractionated heparin in elective percutaneous coronary intervention. N Engl J Med. 2006;355(10):1006-1017. doi:10.1056/NEJMoa052711
- Stabile E, Nammas W, Salemme L, et al. The CIAO (Coronary Interventions Antiplatelet-based Only) Study: a randomized study comparing standard anticoagulation regimen to absence of anticoagulation for elective percutaneous coronary intervention. J Am Coll Cardiol. 2008;52(16):1293-1298. doi:10.1016/j.jacc.2008.07.026
- Kastrati A, Neumann FJ, Mehilli J, et al. Bivalirudin versus unfractionated heparin during percutaneous coronary intervention. N Engl J Med. 2008;359(7):688-696. doi:10.1056/NEJMoa0802944
- Schulz S, Mehilli J, Neumann FJ, et al. ISAR-REACT 3A: a study of reduced dose of unfractionated heparin in biomarker negative patients undergoing percutaneous coronary intervention. Eur Heart J. 2010;31(20):2482-2491. doi:10.1093/eurheartj/ehq330
- Huang J, Li N, Li Z, Hou XJ, Li ZZ. Low-Dose Unfractionated Heparin with Sequential Enoxaparin in Patients with Diabetes Mellitus and Complex Coronary Artery Disease during Elective Percutaneous Coronary Intervention. Chin Med J (Engl). 2018;131(7):764-769. doi:10.4103/0366-6999.228251
- Li ZZ, Tao Y, Wang S, et al. Unfractionated Heparin with Sequential Enoxaparin in Patients with Complex Coronary Artery Lesions during Percutaneous Coronary Intervention. Chin Med J (Engl). 2018;131(20):2417-2423. doi:10.4103/0366-6999.243559
- Drouet L, Bal dit Sollier C, Martin J. Adding intravenous unfractionated heparin to standard enoxaparin causes excessive anticoagulation not detected by activated clotting time: results of the STACK-on to ENOXaparin (STACKENOX) study. Am Heart J. 2009;158(2):177-184. doi:10.1016/j.ahj.2009.05.022
- Gurbel PA, Rout A, Tantry US. Monitoring and Reversal of Anticoagulation and Antiplatelet Agents. In: Dangas GD, Di Mario C, Thiele H, et al., eds. Interventional Cardiology: Principles and Practice. 3rd ed. John Wiley & Sons; 2022: 491-502. https://doi.org/10.1002/9781119697367.ch46.







